《AMPOWER报告2026》:工业3D打印市场重返增长,桌面系统与金属制造成核心引擎
德国咨询公司AMPOWER发布的《AMPOWER报告2026》揭示,工业增材制造市场在2024年经历停滞之后,于2025年重返增长轨道,市场规模超过110亿欧元。
AMPOWER最新年度市场研究显示,受零部件生产需求增强和材料消耗量增加的推动,该领域在去年实现了5.6%的增长。

报告指出,增长动力呈现出显著的结构性分化。
其中,价格低于1万欧元的桌面级聚合物打印系统细分市场在2025年实现了超过30%的增长,成为关键的增长引擎。
AMPOWER咨询公司的合伙人Matthias Schmidt-Lehr表示,桌面机领域不再专属于爱好者,而是越来越多地满足工业需求,企业对构建大规模打印农场的兴趣日益增长。
在金属增材制造领域,2025年全球金属粉末床熔融系统十大制造商的合计营收占比为78.3%,低于一年前的80%,显示市场在持续整合的同时也出现了分化。
与此同时,新的供应商,特别是来自中国的供应商,正持续进入市场。
国防、航天领域及消费品行业仍然是金属增材制造的主要增长动力。

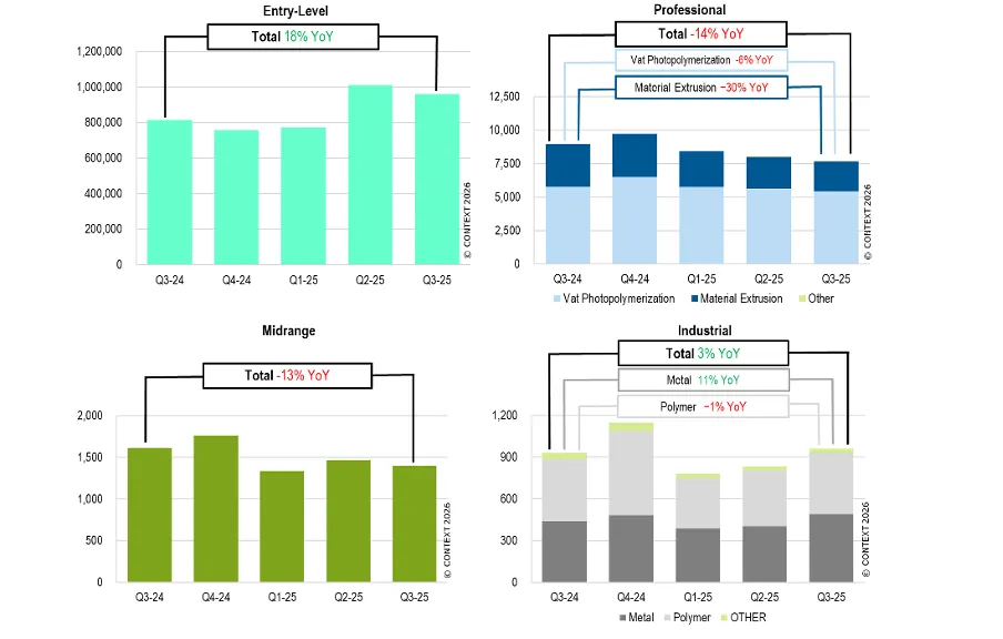
市场研究机构CONTEXT最近的硬件数据印证了增材制造需求的复苏呈现不均衡态势,增长主要出现在市场的两端。
2025年第三季度,价格在2500美元及以下的入门级系统出货量同比增长了18%,而价格超过10万美元的工业级机器出货量增长了3%。
反弹领域高度集中:金属粉末床熔融系统出货量增长了25%,中国的工业系统出货量增长了22%,而航空、国防及中国的国内制造业贡献了大部分增长动能。
相比之下,中端和专业级类别的出货量继续以两位数的速度下滑。

《Wohlers报告2026》执行摘要的发现也指出了价值创造点正发生转变。
2025年全球增材制造收入达到242亿美元,增长10.9%,但增长主要由服务领域贡献,其增长15.5%至117亿美元。
相比之下,打印设备销售及维护仅增长3.6%,达到62亿美元。
在受访用户中,最终用途零件生产占应用的39.8%,表明该技术在制造中的使用更加深入。


京公网安备11010802046387号